گذری بر سوال 10 درس کنترل خطی برق 1390
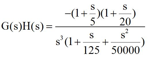
تابع تبدیل شبیه سازی شده
نمودار بوده
مکان ریشه به ازای k>0
+ نوشته شده در پنجشنبه ۵ اسفند ۱۳۸۹ ساعت 2 توسط رضا کهن
|
تابع تبدیل شبیه سازی شده
نمودار بوده
مکان ریشه به ازای k>0